というNBER論文が上がっている。原題は「Enclaves and Assimilation in the Age of Mass Migration: Evidence from Ethnic Catholic Churches」で、著者はRan Abramitzky(スタンフォード大)、Leah Platt Boustan(プリンストン大)、Osea Giuntella(ピッツバーグ大)。
以下はその要旨。
Immigrant enclaves offer valuable ethnic amenities but may delay assimilation. We study enclave formation in the Age of Mass Migration by using the centralized location decisions for “ethnic” Catholic churches. After a church opening, same-ethnicity residents of chosen neighborhoods experienced falling earnings but strengthened communal ties, as compared to residents of areas matched on baseline characteristics. Treated residents held more manual occupations, and increased in-group marriage and naming. These effects persist into the second generation and are not observed for non-ethnic neighbors. Consistent with the historical record, Poles organized communal life around neighborhood parishes, but Italians were less church-centered.
(拙訳)
移民の居留地は貴重な民族の住環境を提供するが、同化を遅らせる可能性もある。我々は、中心となる「民族的な」カトリック教会の立地の決定を用いて、大量移民時代の居留地の形成を調べた。教会が開かれた後は、選んだ近隣の同一民族の住民は、ベースラインの特性でマッチした地域の住民に比べ、収入の減少を経験したが、共同体の絆を強めた。処置群の住民は手作業の職に多く就き、集団内の結婚と命名が多かった。こうした効果は第二世代でも継続し、当該民族ではない近隣の住民では観測されなかった。過去の記録と整合的に、ポーランド人は近くの教区を中心に共同体生活を形成したが、イタリア人はそこまで教会中心的ではなかった。
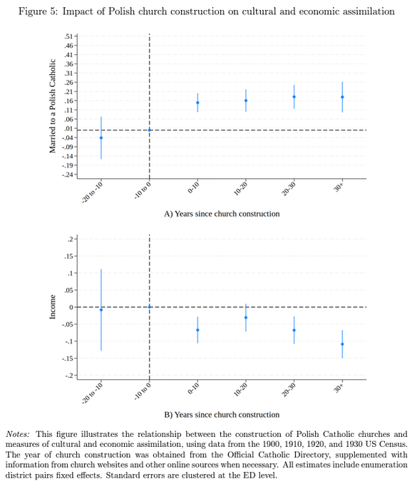
以下はBoustanがRTしたエドワード・コナードが引用した論文の図。
1900-30年に設立されたポーランド系の教会を中心とした居留地では、収入は7%減少し、ポーランド系人口比率が10%ポイント上昇したという。
2世紀に亘る世代間の移動性 - himaginary’s diaryで触れたようにAbramitzkyとBoustanは移民が経済的に裕福になる移動性について研究をしていたが、今回は教会という少し毛色の変わった切り口からその問題に取り組んだようである。